PRODUCTS

chemicals

Our product portfolio

Manufacture of Active Pharmaceutical Ingredients  – cGMP and FDA compliance for the following usage:

Human 

Veterinary  

Finished Dosage Forms – cGMP compliance for the following usage:

Human  

Veterinary 

Production of API intermediates with GMP and non-GMP compliance

Pure Chemicals:

Electronic Industry  

Solvents for multiple applications

Customized products

Food Supplements

Liquids

Powders 

HUMAN APIs

chemicals

D-(+)- MANNOSE

vzorec

Chemical formula

C6H12O6

Molar mass

180,16 g/mol

Chemical name

(3S,4S,5R,6R)-6-(hydroximetyl)oxane-2,3,4,5-tetrol

Synonyms

Manóza , D-(+)-Manóza, Mannose

CAS:

31103-86-3

Description

D-(+)-Mannose is a crucial monosaccharide used in the synthesis of glycoproteins and glycolipids. It plays an essential role in cellular communication and has significant therapeutic potential in treating urinary tract infections and other conditions.

chemicals

METHYLTHIONINIUM CHLORIDE

vzorec

Chemical formula

C16H18ClN3S . xH2O

Molar mass

319,85 g/mol anhydrous 337.90 g/mol monohydrate 373,90 g/mol trihydrate 409.93 g/mol pentahydrate

Chemical name

3,7-Bis(dimethylamino)-phenothiazin-5-ylium chloride

Synonyms

Methylene blue, Methylthioninium Chloride

CAS:

122965-43-9 x hydrate 61-73-4 anhydrous 122965-43-9 monohydrate 7220-79-3 trihydrate 32680-41-4 pentahydrate

Description

Methylthioninium Chloride, known as Methylene Blue, is widely used as a diagnostic stain and therapeutic agent. It is vital in treating methemoglobinemia and serves as a crucial chemical in various biological assays.

chemicals

PIRITRAMIDE

vzorec

Chemical formula

C27H34N4O

Molar mass

430,59 g/mol

Chemical name

1´-(3-cyano-3,3-diphenylpropyl)-(1,4´-bipiperidine)-4´- carboxamide

Synonyms

1-(3, 3-diphenyl-3-cyanopropyl)-4-piperidino-4- pyridinecarboxamide, 2, 2-diphenyl-4-(4-piperidino-4-carbamoyl piperidino)butyronitrile

CAS:

302-41-0

Description

Piritramide is an opioid analgesic utilized in the management of severe pain. Its chemical stability and efficacy make it a preferred choice in controlled clinical environments.

chemicals

FENIPENTOL

vzorec

Chemical formula

C11H16O

Molar mass

164.24 g/mol

Chemical name

1-Phenylpentan-1-ol

Synonyms

1-phenyl-1-pentanol

CAS:

583-03-9

Description

Fenipentol is a pharmacologically active compound with potential applications in neurology and psychiatry. Its molecular structure lends itself to various therapeutic formulations.

chemicals

MOXASTINE TEOCLATE

vzorec

Chemical formula

C25H30ClN5O3

Molar mass

484,00 g/mol

Chemical name

N-[2-(1,1-diphenyl methoxy) ethyl] dimethylamino 8-chloro-1,3-dimethyl-2,6-dimethylene-2,3,6,7-tetrahydro-1H-purine

Synonyms

N-[2-(1,1–diphenylmethoxy ) ethyl ] dimethylaminum 8-chlórteofylín, α-methyl benzhydryl-2-dimethylamino aethylaether 8-chlórteofylín, Mephenhydramine teoclas

CAS:

21661-62-1

Description

Moxastine Teoclate is an antihistamine with potent effects, commonly used in treating allergic reactions. Its unique chemical properties ensure high efficacy and reduced side effects.

VETERINARY APIs

chemicals

PROPENTOFYLINE

vzorec

Chemical formula

C15H22N4O3

Molar mass

306,36 g/mol

Chemical name

3,7-Dihydro-3-methyl-1-(5-oxohexyl)-7-propyl-1H-purine-2,6-dione

Synonyms

1H-Purine-2,6-dione, 3,7-dihydro-3-methyl-1-(5-oxohexyl)-7-propyl, 3,7-Dihydro-3-methyl-1-(5-oxohexyl)-7-propyl-1H-purine-2,6-dione 3-Methyl-1-(5-oxohexyl)-7-propyl-3,7-dihydro-1H-purin-2,6-

CAS:

55242-55-2

Description

Propentofylline is an active ingredient in veterinary medicine, particularly in the treatment of cognitive dysfunction and other conditions in aging animals. It enhances cerebral blood flow and oxygen utilization.

VETERINARY FDFs

chemicals

ALDIFAL 25 mg/ml

The dosage form

peroral suspension for veterinary usage

Active substances

Albendazole 25 mg in 1 ml

Description

A broad-spectrum anthelmintic used to prevent and treat helminth infections in sheep. Albendazole is highly effective against various gastrointestinal parasites.

chemicals

ALDIFAL 100 mg/ml

The dosage form

peroral suspension for veterinary usage

Active substances

Albendazole 100 mg in 1 ml

Description

A potent anthelmintic medicine for the prevention and treatment of helminthoses in cattle. This higher concentration is specifically designed for larger animals requiring a stronger dosage.

APIs INTERMEDIATES

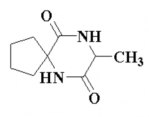
chemicals

ALAPTIDE

vzorec

Chemical formula

C9H14N2O2

Molar mass

182.22

Chemical name

8-Methyl-6,9-diazaspiro[4.5]decane-7,10-dione

Synonyms

C(Acp-Ala);2,2-(Tetramethylene)cyclo(Gly-L-Ala-);8-methyl-9-diazaspiro(4.5)decane-(s)-10-dione;cyclo(alanine-(1-amino-1-cyclopentane)carbonyl;cyclo(1-amino-1-cyclopentanecarbonyl-l-alanyl);(s

CAS:

90058-29-0

Description

Alaptide is a spiro compound with potential use as an API intermediate in dermatological and neuroprotective applications. Its unique structure offers versatility in various pharmaceutical developments.

ELECTRONIC GRADE CHEMICALS

chemicals

5-CHLOROBENZOTRIAZOLE

vzorec

Chemical formula

C6H4ClN3

Molar mass

153,57 g/mol

Chemical name

5-Chloro-1H-benzo[d][1,2,3]triazole

Synonyms

5-Chloro-1H-benzo[d][1,2,3]triazole 5-chloro-2H-benzotriazole

CAS:

94-97-3

Description

5-Chlorobenzotriazole is an essential chemical for the electronics industry, often used as a corrosion inhibitor. Its purity and stability make it a critical component in electronic manufacturing processes.

Interested in our product?

CONTACT US

Contact:

Fields marked with * are required